2021年广西高考理综真题答案解析
参考答案
1-5 CBDBA
6-10 CCCDB
11-15 DBDDC
16-18 BAC
19.BD
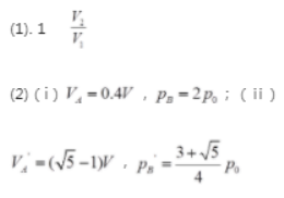
20.BC
21.AB
22.(1). 0.43 (2). 0.32
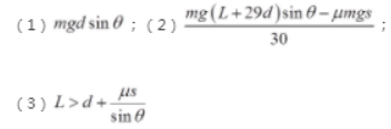
23.(1). 10 (2). a (3). 0.7 (4). 2700 (5). 增大 (6). 0.074 (7). 10
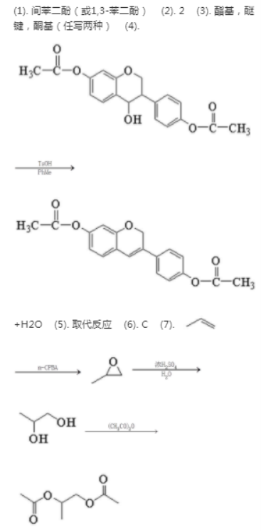
24.
25.
26.
27.
28.
29.(1). 具有一定的流动性 (2). 蛋白质 (3). 顺浓度或选择性 (4). 细胞逆浓度梯度吸收K+是主动运输过程,需要能量,呼吸抑制剂会影响细胞呼吸供能,故使细胞主动运输速率降低
30.(1). dATP脱去β、γ位上的两个磷酸基团后,则为腺嘌呤脱氧核苷酸,是合成DNA的原料之一 (2). 防止RNA分子与染色体DNA的W基因片段发生杂交 (3). 解旋 (4). DNA酶
31.(1). 避免自己没有食物,无法生存下去 (2). 单向流动,逐级递减 (3). (赛达伯格湖)湖泊
32.(1). 基因型不同的两个亲本杂交,F1分别统计,缺刻叶∶全缘叶=1∶1,齿皮∶网皮=1∶1,每对相对性状结果都符合测交的结果,说明这2对相对性状的遗传均符合分离定律 (2). 缺刻叶和齿皮 (3). 甲和乙 (4). 1/4 (5). 果皮 (6). F2中齿皮∶网皮=48∶16=3∶1,说明受一对等位基因控制
33.
34.
35.
36.
37.(1). 蛋白酶 (2). 脂肪酶 (3). 蛋白酶和脂肪酶 (4). 加酶洗衣粉A和加酶洗衣粉C (5). 蚕丝织物的主要成分是蛋白质,会被蛋白酶催化水解 (6). 酶可以将大分子有机物分解为小分子有机物,小分子有机物易溶于水,从而将污渍与洗涤物分开 (7). 利用物理或化学方法将酶固定在一定空间内的技术 (8). 固定在载体上的酶可以被反复利用,可降低生产成本(或产物容易分离,可提高产品的产量和质量,或固定化酶稳定性好,可持续发挥作用)
38.(1). ④②③① (2). Taq酶(热稳定DNA聚合酶) (3). 延伸 (4). Taq酶从引物起始进行互补链的合成 (5). 两条单链DNA (6). 一项在生物体外复制特定DNA片段的核酸合成技术
