广东新高考等级赋分公式规则
2021年起,参加夏季全国统一高考的考生将需根据高校招生专业选考科目指引要求和自己的兴趣特长,从上述4门选择性考试科目中任选2门参加考试,其考试成绩按照等级赋分方法将卷面分换算为等级分,以等级分呈现并计入其夏季高考总成绩。

广东新高考赋分方法
(一)将每个选考科目的考生群体卷面分转换为等级。把每个选考科目考生群体的卷面分从最高分到最低分顺序排列,按照考生群体卷面分的统计分布所确定人数比例(见表1)将该选考科目考生群体划分为5个群体,每个群体考生赋予1个等级,整个考生群体的卷面分被转换为从高到低A、B、C、D、E共5个等级,每个考生的等级由其在该选考科目群体的排位确定。
(二)将等级转换为等级分。等级分的满分值为100分、起点分值为30分,从A至E每个等级按照1分1档的分数间隔对各个等级进行连续赋分,各个等级的等级分赋分区间从17到10分不等(见下表)。依此,把每个选考科目考生群体的等级成绩从高到低(从A到E)转换为100至30分的等级分数,每个等级分数都在一定的等级分区间内。根据每个考生的卷面分数及其所在等级的等级赋分区间,运用等比例转换法则将其卷面分换算成等级分。在A、B、C、D、E的每个等级内卷面分不同的考生,根据等比例转换法则可计算得出不同的等级分,从而确保卷面分较高的考生换算得到较高的等级分。
1.等级换算对应关系。各等级及其所占人数比例、等级分赋分区间对应关系如表所示。
等级分换算对应表

2.等级分换算公式。根据等比例转换法则计算每个考生等级分的公式为:

根据公式(1),可以算出每个考生的等级分。
公式(1)表明,考生的卷面分和等级分是线性相关的。在考生卷面分转换成等级和等级分的过程中,考生在相应选考科目考生群体中的成绩排序不会发生变化。
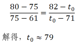
示例:假设某同学思想政治科目卷面分为75分,按照其在该科目考生群体中的卷面分排位确定的等级为B等级,当次考试该科目B等级所对应的卷面分区间为80~61;查表1,可知B等级的等级分赋分区间为82~71。那么根据公式(1),可以计算出该同学思想政治科目的等级分:

即该同学的思想政治科目等级分为79分。
广东新高考考试及成绩
成绩呈现。合格性考试科目成绩以“合格/不合格”和等级(分数)呈现,等级(分数)作为春季高考招生录取依据之一。选择性考试科目成绩,物理、历史科目以卷面分呈现;思想政治、地理、化学、生物学以等级分呈现。选择性考试科目成绩当年有效。
考试安排。夏季高考的语文、数学、外语在每年按照统一高考时间进行。外语科目选考英语语种的,考试分听说考试和笔试两次进行,听说考试安排在高三第二学期开学后进行,考1次;笔试安排在统一高考期间进行,考1次。外语科目选考其他语种的,按教育部当年规定执行。思想政治、历史、地理、物理、化学、生物学6门选择性考试科目每年考1次,安排在统一高考科目考试结束后开考。体育类、艺术类专业术科全省统一考试安排在高三第一学期进行。
