江南电竞logo > 浙江高考 > 浙江江南app平台下载安装官网苹果 > 浙江数学试题>

2025年金华市义乌市高三三模数学试题及答案

时间: 浙江 数学试题

2025年金华市义乌市高三三模数学考试已于近日开考,为方便考生考后及时查看考试情况,查漏补缺、弥补不足,本文整理了试题答案解析相关信息!

汇总:2025年金华市义乌市高三三模试题及答案汇总

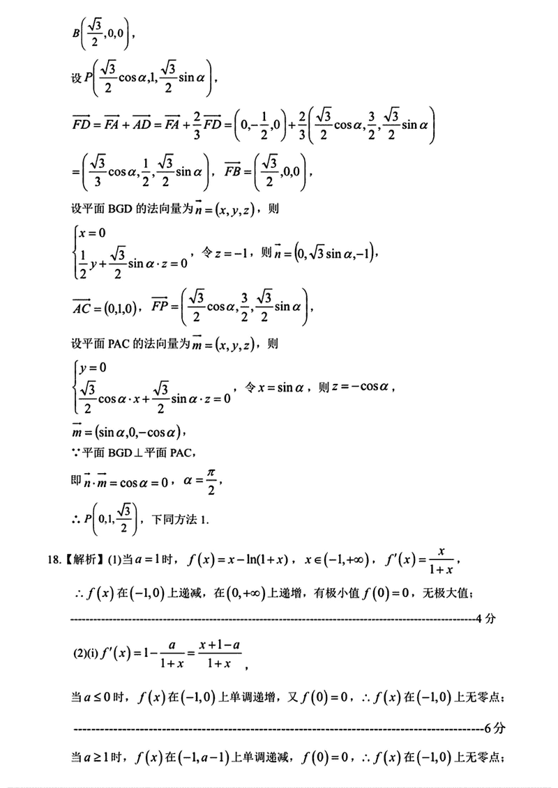
数学试题及答案解析


Baidu
map