2020年云南高职扩招招生计划公布 志愿填报时间
时间:
江南体育官方网站下载地址查询
近日,云南省教育考试院整理发布了2020年高职扩招志愿填报的相关事项,招生计划也随之发布。本次志愿填报确认时间:10月21日至23日,志愿填报截止时间为10月23日18:00,志愿确认截止时间为10月23日19:00。下面小编为大家详细盘点一下相关信息,供大家参考。

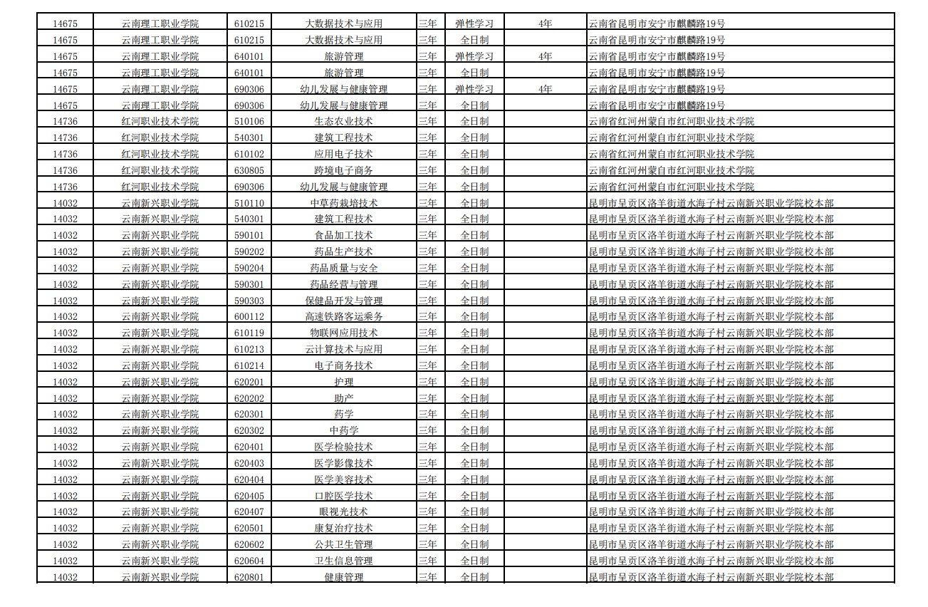
2020云南高职扩招招生计划一览





注:由于篇幅限制,本页面仅展示部分招生计划,详情请点击文末进行下载。
