2021年云南高考理综真题
2021年普通高等学校招生全国统一考试(甲卷)
理科综合能力测试
注意事项:
1.答卷前,考生务必将自己的姓名、准考证号填写在答题卡上。
2.回答选择题时,选出每小题答案后,用铅笔把答题卡上对应题目的答案标号涂黑;如需改动,用橡皮擦干净后,再选涂其他答案标号。回答非选择题时,将答案书写在答题卡上,写在本试卷上无效。
3.考试结束后,将本试卷和答题卡一并交回.
可能用到的相对原子质量:H 1 C 12 N 14 O 16 S 32 Cu 64 Zr 91
一、选择题:本题共13个小题,每小题6分。共78分,在每小题给出的四个选项中,只有一项是符合题目要求的。
1.已知①酶、②抗体、③激素、④糖原、⑤脂肪、⑥核酸都是人体内有重要作用的物质。下列说法正确的是
A.①②③都是由氨基酸通过肽键连接而成的
B.③④⑤都是生物大分子,都以碳链为骨架
C.①②⑥都是由含氮的单体连接成的多聚体
D.④⑤⑥都是人体细胞内的主要能源物质
2.某同学将酵母菌接种在马铃薯培养液中进行实验,不可能得到的结果是
A.该菌在有氧条件下能够繁殖
B.该菌在无氧呼吸的过程中无丙酮酸产生
C.该菌在无氧条件下能够产生乙醇
D.该菌在有氧和无氧条件下都能产生CO2
3.生长素具有促进植物生长等多种生理功能。下列与生长素有关的叙述,错误的是
A.植物生长的“顶端优势”现象可以通过去除顶芽而解除
B.顶芽产生的生长素可以运到侧芽附近从而抑制侧芽生长
C.生长素可以调节植物体内某些基因的表达从而影响植物生长
D.在促进根、茎两种器官生长时,茎是对生长素更敏感的器官
4.人体下丘脑具有内分泌功能,也是一些调节中枢的所在部位。下列有关下丘脑的叙述,错误的是
A.下丘脑能感受细胞外液渗透压的变化
B.下丘脑能分泌抗利尿激素和促甲状腺激素
C.下丘脑参与水盐平衡的调节:下丘脑有水平衡调节中枢
D.下丘脑能感受体温的变化;下丘脑有体温调节中枢

5.果蝇的翅型、眼色和体色3个性状由3对独立遗传的基因控制,且控制眼色的基因位于X染色体上。让一群基因型相同的果蝇(果蝇M)与另一群基因型相同的果蝇(果蝇N)作为亲本进行杂交,分别统计子代果蝇不同性状的个体数量,结果如图所示。已知果蝇N表现为显性性状灰体红眼。下列推断错误的是
A.果蝇M为红眼杂合体雌蝇
B.果蝇M体色表现为黑檀体
C.果蝇N为灰体红眼杂合体
D.亲本果蝇均为长翅杂合体
6.群落是一个不断发展变化的动态系统。下列关于发生在裸岩和弃耕农田上的群落演替的说法,错误的是
A.人为因素或自然因素的干扰可以改变植物群落演替的方向
B.发生在裸岩和弃耕农田上的演替分别为初生演替和次生演替
C.发生在裸岩和弃耕农田上的演替都要经历苔藓阶段、草本阶段
D.在演替过程中,群落通常是向结构复杂、稳定性强的方向发展
7.化学与人体健康及环境保护息息相关。下列叙述正确的是
A.食品加工时不可添加任何防腐剂
B.掩埋废旧电池不会造成环境污染
C.天然气不完全燃烧会产生有毒气体
D.使用含磷洗涤剂不会造成水体污染
8.
为阿伏加德罗常数的值.下列叙述正确的是( )
A.
重水(
)中含有的质子数为
B.
的
与
完全反应时转移的电子数为
C.
环状
(
)分子中含有的
键数为
D.
的
溶液中
离子数为
9.实验室制备下列气体的方法可行的是( )
气体 |
方法 |
|
A |
氨气 |
加热氯化铵固体 |
B |
二氧化氮 |
将铝片加到冷浓硝酸中 |
C |
硫化氢 |
向硫化钠固体滴加浓硫酸 |
D |
氧气 |
加热氯酸钾和二氧化锰的混合物 |
10.下列叙述正确的是( )
A.甲醇既可发生取代反应也可发生加成反应
B.用饱和碳酸氢纳溶液可以鉴别乙酸和乙醇
C.烷烃的沸点高低仅取决于碳原子数的多少
D.戊二烯与环戊烷互为同分异构体
11.W、X、Y、Z为原子序数依次增大的短周期主族元素,Z的最外层电子数是W和X的最外层电子数之和,也是Y的最外层电子数的2倍.W和X的单质常温下均为气体。下列叙述正确的是( )
A.原子半径:
B.W与X只能形成一种化合物
C.Y的氧化物为碱性氧化物,不与强碱反应
D.W、X和Z可形成既含有离子键又含有共价键的化合物
12.已知相同温度下,
.某温度下,饱和溶液中
、
与
的关系如图所示。

下列说法正确的是( )
A.曲线①代表
的沉淀溶解曲线
B.该温度下
的
值为
C.加适量
固体可使溶液由a点变到b点
D.
时两溶液中
13.乙醛酸是一种重要的化工中间体,可果用如下图所示的电化学装置合成。图中的双极膜中间层中的
解离为
和
,并在直流电场作用下分别问两极迁移。下列说法正确的是( )

A.
在上述电化学合成过程中只起电解质的作用
B.阳极上的反应式为:
C.制得
乙醛酸,理论上外电路中迁移了
电子
D.双极膜中间层中的
在外电场作用下向铅电极方向迁移
二、选择题:本题共8小题,每小题6分,共48分。在每小题给出的四个选项中,第14~18题只有一项符合题目要求,第19~21题有多项符合题目要求。全部选对的得6分,选对但不全的得3分,有选错的得0分。
14.如图,将光滑长平板的下端置于铁架台水平底座上的挡板P处,上部架在横杆上。横杆的位置可在竖直杆上调节,使得平板与底座之间的夹角θ可变。将小物块由平板与竖直杆交点Q处静止释放,物块沿平板从Q点滑至P点所用的时间t与夹角θ的大小有关。若由30°逐渐增大至60°,物块的下滑时间t将

A.逐渐增大 B.逐渐减小 C.先增大后减小 D.先减小后增大
15.“旋转纽扣”是一种传统游戏。如图,先将纽扣绕几圈,使穿过纽扣的两股细绳拧在一起,然后用力反复拉绳的两端,纽扣正转和反转会交替出现。拉动多次后,纽扣绕其中心的转速可达50 r/s,此时纽扣上距离中心1 cm处的点向心加速度大小约为

A.10 m/s2 B.100 m/s2 C.1 000 m/s2 D.10 000 m/s2
16.两足够长直导线均折成直角,按图示方式放置在同一平面内,EO与O'Q在一条直线上,PO'与OF在一条直线上,两导线相互绝缘,通有相等的电流I,电流方向如图所示。若一根无限长直导线通过电流I时,所产生的磁场在距离导线d处的磁感应强度大小为B,则图中与导线距离均为d的M、N两点处的磁感应强度大小分别为

A.B、0 B.0、2B C.2B、2B D.B、B
17.如图,一个原子核X经图中所示的一系列α、β衰变后,生成稳定的原子核Y,在此过程中放射出电子的总个数为

A.6 B.8 C.10 D.14
18.2021年2月,执行我国火星探测任务的“天问一号”探测器在成功实施三次近火制动后,进入运行周期约为1.8×105 s的椭圆形停泊轨道,轨道与火星表面的最近距离约为2.8×105 m。已知火星半径约为3.4×106 m,火星表面处自由落体的加速度大小约为3.7 m/s2,则“天问一号”的停泊轨道与火星表面的最远距离约为
A.6×105 m B.6×106 m C.6×107 m D.6×108 m
19.某电场的等势面如图所示,图中a、b、c、d、e为电场中的5个点,则

A.一正电荷从b点运动到e点,电场力做正功
B.一电子从a点运动到d点,电场力做功为4 eV
C.b点电场强度垂直于该点所在等势面,方向向右
D.a、b、c、d四个点中,b点的电场强度大小最大
20.一质量为m的物体自倾角为α的固定斜面底端沿斜面向上滑动。该物体开始滑动时的
动能为Ek,向上滑动一段距离后速度减小为零,此后物体向下滑动,到达斜面底端时动能为Ek/5。已知sinα=0.6,重力加速度大小为g。则
A.物体向上滑动的距离为
B.物体向下滑动时的加速度大小为g/5
C.物体与斜面间的动摩擦因数等于0.5
D.物体向上滑动所用的时间比向下滑动的时间长
21.由相同材料的导线绕成边长相同的甲、乙两个正方形闭合线圈,两线圈的质量相等,但所用导线的横截面积不同,甲线圈的匝数是乙的2倍。现两线圈在竖直平面内从同一高度同时由静止开始下落,一段时间后进入一方向垂直于纸面的匀强磁场区域,磁场的上边界水平,如图所示。不计空气阻力,已知下落过程中线圈始终平行于纸面,上、下边保持水平。在线圈下边进入磁场后且上边进入磁场前,可能出现的是

A.甲和乙都加速运动
B.甲和乙都减速运动
C.甲加速运动,乙减速运动
D.甲减速运动,乙加速运动
三、非选择题:共174分。第22~32题为必考题,每个试题考生都必须作答。第33~38题为选考题,考生根据要求作答。
(一)必考题:共129分。
22.(5分)
为测量小铜块与瓷砖表面间的动摩擦因数,一同学将贴有标尺的瓷砖的一端放在水平桌面上,形成一倾角为α的斜面(已知sinα=0.34,cosα=0.94),小铜块可在斜面上加速下滑,如图所示。该同学用手机拍摄小铜块的下滑过程,然后解析视频记录的图像,获得5个连续相等时间间隔(每个时间间隔ΔT=0.20 s)内小铜块沿斜面下滑的距离si(i=1,2,3,4,5),如下表所示。

s1 |
s2 |
s3 |
s4 |
s5 |
5.87cn |
7.58cm |
9.31cm |
11.02cm |
12.74cm |
由表中数据可得,小铜块沿斜面下滑的加速度大小为_______m/s2,小铜块与瓷砖表面间的动摩擦因数为_________。(结果均保留2位有效数字,重力加速度大小取9.80 m/s2)
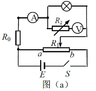
23.(10分)
某同学用图(a)所示电路探究小灯泡的伏安特性,所用器材有:小灯泡(额定电压2.5 V,额定电流0.3 A)、电压表(量程300 mV,内阻300 Ω)、电流表(量程300 mA,内阻0.27 Ω)定值电阻R0、滑动变阻器R1(阻值0~20 Ω)、电阻箱R2(最大阻值9 999.9 Ω)、电源E(电动势6V,内阻不计)、开关S、导线若干。完成下列填空:

(1)有3个阻值分别为10 Ω、20 Ω、30 Ω的定值电阻可供选择,为了描绘小灯泡电流在0-300 mA的U-I曲线,R0应选取阻值为______Ω的定值电阻;
(2)闭合开关前,滑动变阻器的滑片应置于变阻器的________(填“a”或“b”)端;

图(b)
(3)在流过电流表的电流较小时,将电阻箱R2的阻值置零,改变滑动变阻器滑片的位置,读取电压表和电流表的示数U、I,结果如图(b)所示。当流过电流表的电流为10 mA时,小灯泡的电阻为__________Ω(保留1位有效数字);
(4)为使得电压表满量程时对应于小灯泡两端的电压为3 V,该同学经计算知,应将R2的阻值调整为_________Ω。然后调节滑动变阻器R1,测得数据如下表所示:
U/mV |
24.0 |
46.0 |
76.0 |
110.0 |
128.0 |
152.0 |
184.0 |
216.0 |
250.0 |
I/mA |
140.0 |
160.0 |
180.0 |
200.0 |
220.0 |
240.0 |
260.0 |
280.0 |
300.0 |
(5)由图(b)和上表可知,随流过小灯泡电流的增加,其灯丝的电阻____(填“增大”“减小”或“不变”);
(6)该同学观测到小灯泡刚开始发光时流过电流表的电流为160 mA,可得此时小灯泡电功率P1=________W(保留2位有效数字);当流过电流表的电流为300 mA时,小灯泡的电功率为P2,则
=____________(保留至整数)。
24.(12分)
如图,一倾角为θ的光滑斜面上有50个减速带(图中未完全画出),相邻减速带间的距离均为d,减速带的宽度远小于d;一质量为m的无动力小车(可视为质点)从距第一个减速带L处由静止释放。已知小车通过减速带损失的机械能与到达减速带时的速度有关。观察发现,小车通过第30个减速带后,在相邻减速带间的平均速度均相同。小车通过第50个减速带后立刻进入与斜面光滑连接的水平地面,继续滑行距离s后停下。已知小车与地面间的动摩擦因数为μ,重力加速度大小为g。
(1)求小车通过第30个减速带后,经过每一个减速带时损失的机械能;
(2)求小车通过前30个减速带的过程中在每一个减速带上平均损失的机械能;
(3)若小车在前30个减速带上平均每一个损失的机械能大于之后每一个减速带上损失的机械能,则L应满足什么条件?

25.(20分)
如图,长度均为l的两块挡板竖直相对放置,间距也为l,两挡板上边缘P和M处于同一水平线上,在该水平线的上方区域有方向竖直向下的匀强电场,电场强度大小为E;两挡板间有垂直纸面向外、磁感应强度大小可调节的匀强磁场。一质量为m,电荷量为q(q>0)的粒子自电场中某处以大小为v0的速度水平向右发射,恰好从P点处射入磁场,从两挡板下边缘Q和N之间射出磁场,运动过程中粒子未与挡板碰撞。已知粒子射入磁场时的速度方向与PQ的夹角为60°,不计重力。

(1)求粒子发射位置到P点的距离;
(2)求磁感应强度大小的取值范围;
(3)若粒子正好从QN的中点射出磁场,求粒子在磁场中的轨迹与挡板MN的最近距离。
26.(14分)
碘(紫黑色固体,微溶于水)及其化合物广泛用于医药、染料等方面。回答下列问题:
(1)
的一种制备方法如下图所示:

①加入
粉进行转化反应的离子方程式为_________,生成的沉淀与硝酸反应,生成________后可循环使用。
②通入
的过程中,若氧化产物只有一种,反应的化学方程式为__________;若反应物用量比
时,氧化产物为_________;当
,单质碘的收率会降低,原因是___________。
(2)以
为原料制备
的方法是:先向
溶液中加入计量的
,生成碘化物;再向混合溶液中加入
溶液,反应得到
,上述制备
的总反应的离子方程式为__________。
(3)
溶液和
溶液混合可生成
沉淀和
,若生成
,消耗的
至少为_______
。
在
溶液中可发生反应:
。实验室中使用过量的
与
溶液反应后,过滤,滤液经水蒸气蒸馏可制得高纯碘。反应中加入过量
的原因是________。
27.(15分)
胆矾(
)易溶于水,难溶于乙醇。某小组用工业废铜焙烧得到的
(杂质为氧化铁及泥沙)为原料与稀硫酸反应制备胆矾,并测定其结晶水的含量。回答下列问题:
(1)制备胆矾时,用到的实验仪器除量筒、酒精灯、玻璃棒、漏斗外,还必须使用的仪器有________(填标号)。
A.烧杯 B.容量瓶 C.蒸发皿 D.移液管
(2)将
加入到适量的稀硫酸中,加热,其主要反应的化学方程式为___________,与直接用废铜和浓硫酸反应相比,该方法的优点是_________。
(3)待
完全反应后停止加热,边搅拌边加入适量
,冷却后用
调
为3.5~4,再煮沸
,冷却后过滤.滤液经如下实验操作:加热蒸发、冷却结晶、________、乙醇洗涤、________,得到胆矾。其中,控制溶液
为3.5~4的目的是_________,煮沸
的作用是_________。
(4)结晶水测定:称量干燥坩埚的质量为
,加入胆矾后总质量为
,将坩埚加热至胆矾全部变为白色,置于干燥器中冷至室温后称量,重复上述操作,最终总质量恒定为
。根据实验数据,胆矾分子中结晶水的个数为_________(写表达式)。
(5)下列操作中,会导致结晶水数目测定值偏高的是________(填标号)。
①胆矾未充分干燥 ②坩埚未置于干燥器中冷却 ③加热时有少胆矾迸溅出来
28.(14分)
二氧化碳催化加氢制甲醇,有利于减少温室气体二氧化碳.回答下列问题:
(1)二氧化碳加氢制甲醇的总反应可表示为:

该反应一般认为通过如下步骤来实现:
①
②
总反应的
_______
;若反应①为慢反应,下列示意图中能体现上述反应能量变化的是________(填标号),判断的理由是_______。
A.
B.
C.
D.
(2)合成总反应在起始物
时,在不同条件下达到平衡,设体系中甲醇的物质的量分数为
,在
℃下的
、在
下的
如图所示。

①用各物质的平衡分压表示总反应的平衡常数,表达式
________;
②图中对应等压过程的曲线是________,判断的理由是_________;
③当
时,
的平衡转化率
__________,反应条件可能为________或_______。
29.(10分)
植物的根细胞可以通过不同方式吸收外界溶液中的K+。回答下列问题:
(1)细胞外的K+可以跨膜进入植物的根细胞。细胞膜和核膜等共同构成了细胞的生物膜系统,生物膜的结构特点是 。
(2)细胞外的K+能够通过离子通道进入植物的根细胞。离子通道是由 复合物构成的,其运输的特点是 (答出1点即可)。
(3)细胞外的K+可以通过载体蛋白逆浓度梯度进入植物的根细胞。在有呼吸抑制剂的条件下,根细胞对K+的吸收速率降低,原因是 。
30.(9分)
用一段由放射性同位素标记的DNA片段可以确定基因在染色体上的位置。某研究人员使用放射性同位素32P标记的脱氧腺苷三磷酸(dATP,dA-Pα~Pβ~Pγ,)等材料制备了DNA片段甲(单链),对W基因在染色体上的位置进行了研究,实验流程的示意图如下。

回答下列问题:
(1)该研究人员在制备32p标记的DNA片段甲时,所用dATP的α位磷酸基团中的磷必须是32p,原因是 。
(2)该研究人员以细胞为材料制备了染色体样品,在混合操作之前去除了样品中的RNA分子,去除RNA分子的目的是 。
(3)为了使片段甲能够通过碱基互补配对与染色体样品中的W基因结合,需要通过某种处理使样品中的染色体DNA 。
(4)该研究人员在完成上述实验的基础上,又对动物细胞内某基因的mRNA进行了检测,在实验过程中用某种酶去除了样品中的DNA,这种酶是 。
31.(8分)
捕食是一种生物以另一种生物为食的现象,能量在生态系统中是沿食物链流动的。
回答下列问题:
(1)在自然界中,捕食者一般不会将所有的猎物都吃掉,这一现象对捕食者的意义是
(答出1点即可)。
(2)青草→羊→狼是一条食物链。根据林德曼对能量流动研究的成果分析,这条食物链上能量流动的特点是 。
(3)森林、草原、湖泊、海洋等生态系统是常见的生态系统,林德曼关于生态系统能量流动特点的研究成果是以 生态系统为研究对象得出的。
32、(12分)
植物的性状有的由1对基因控制,有的由多对基因控制。一种二倍体甜瓜的叶形有缺刻叶和全缘叶,果皮有齿皮和网皮。为了研究叶形和果皮这两个性状的遗传特点,某小组用基因型不同的甲乙丙丁4种甜瓜种子进行实验,其中甲和丙种植后均表现为缺刻叶网皮。杂交实验及结果见下表(实验②中F1自交得F2)。

回答下列问题:
(1)根据实验①可判断这2对相对性状的遗传均符合分离定律,判断的依据是 。根据实验②,可判断这2对相对性状中的显性性状是 。
(2)甲乙丙丁中属于杂合体的是 。
(3)实验②的F2中纯合体所占的比例为 。
(4)假如实验②的F2中缺刻叶齿皮∶缺刻叶网皮∶全缘叶齿皮∶全缘叶网皮不是9∶3∶3∶1,而是45∶15∶3∶1,则叶形和果皮这两个性状中由1对等位基因控制的是 ,判断的依据是 。
(二)选考题:共45分。请考生从2道物理题、2道化学题、2道生物题中每科任选一题作答。如果多做,则每学科按所做的第一题计分。
33.[物理——选修3-3](15分)
(1)(5分)如图,一定量的理想气体经历的两个不同过程,分别由体积-温度(V-t)图上的两条直线I和Ⅱ表示,V1和V2分别为两直线与纵轴交点的纵坐标。t0是它们的延长线与横轴交点的横坐标,t0=-273.15°C;a为直线I上的一点。由图可知,气体在状态a和b的压强之比pa/pb=______;气体在状态b和c的压强之比pa/pc=_________。

(2)(10分)如图,一汽缸中由活塞封闭有一定量的理想气体,中间的隔板将气体分为A、B两部分;初始时,A、B的体积均为V,压强均等于大气压p0。隔板上装有压力传感器和控制装置,当隔板两边压强差超过0.5p0时隔板就会滑动,否则隔板停止运动。气体温度始
终保持不变。向右缓慢推动活塞,使B的体积减小为V/2。

(i)求A的体积和B的压强;
(ⅱ)再使活塞向左缓慢回到初始位置,求此时A的体积和B的压强。
34.[物理——选修3-4](15分)
(1)(5分)如图,单色光从折射率n=1.5、厚度d=10.0 cm的玻璃板上表面射入。已知真空中的光速为3.0×108 m/s,则该单色光在玻璃板内传播的速度为_________m/s;对于所有可能的入射角,该单色光通过玻璃板所用时间t的取值范围是__________s≤t<_________s(不考虑反射)。

(2)(10分)均匀介质中质点A、B的平衡位置位于x轴上,坐标分别为0和xB=16 cm。某简谐横波沿x轴正方向传播,波速为v=20 cm/s,波长大于20 cm,振幅为y=l cm,且传播时无衰减。t=0时刻A、B偏离平衡位置的位移大小相等、方向相同,运动方向相反,此后每隔Δt=0.6 s两者偏离平衡位置的位移大小相等、方向相同。已知在t1时刻(t1>0),质点A位于波峰。求:
(i)从t1时刻开始,质点B最少要经过多长时间位于波峰;
(ii)t1时刻质点B偏离平衡位置的位移。
36.[化学—选修5:有机化学基础](15分)
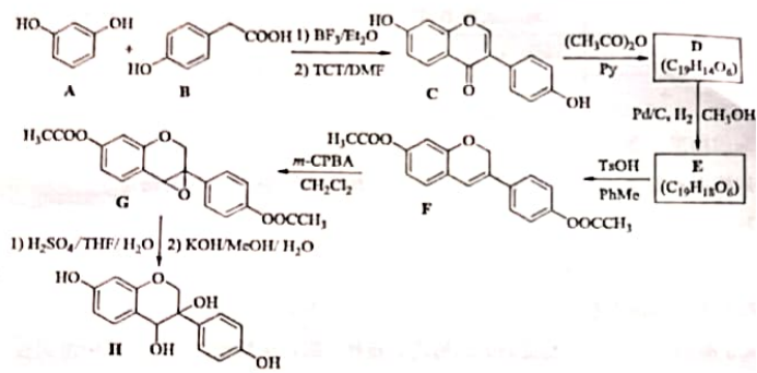
近年来,以大豆素(化合物C)为主要成分的大豆异黄酮及其衍生物,因其具有优良的生理活性而备受关注.大豆素的合成及其衍生化的一种工艺路线如下:

回答下列问题:
(1)A的化学名称为_______。
(2)
反应生成E至少需要______
氢气。
(3)写出E中任意两种含氧官能团的名称_______。
(4)由E生成F的化学方程式为_________。
(5)由G生成H分两步进行:反应1)是在酸催化下水与环氧化合物的加成反应,则反应2)的反应类型为________。
(6)化合物B的同分异构体中能同时满足下列条件的有_______(填标号)。
a.含苯环的醛、酮
b.不含过氧键(
)
c.核磁共振氢谱显示四组峰,且峰面积比为3∶2∶2∶1
A.2个 B.3个 C.4个 D.5个
(7)根据上述路线中的相关知识,以丙烯为主要原料用不超过三步的反应设计合成:
。
37. [生物——选修1:生物技术实践](15分)
加酶洗衣粉是指含有酶制剂的洗衣粉。某同学通过实验比较了几种洗衣粉的去渍效果(“+”越多表示去渍效果越好),实验结果见下表。

根据实验结果回答下列问题:
(1)加酶洗衣粉A中添加的酶是 ;加酶洗衣粉B中添加的酶是 ;加酶洗衣粉C中添加的酶是 。
(2)表中不宜用于洗涤蚕丝织物的洗衣粉有 ,原因是 。
(3)相对于无酶洗衣粉,加酶洗衣粉去渍效果好的原因是 。
(4)关于酶的应用,除上面提到的加酶洗衣粉外,固定化酶也在生产实践中得到应用,如固定化葡萄糖异构酶已经用于高果糖浆生产。固定化酶技术是指 。固定化酶在生产实践中应用的优点是 (答出1点即可)。
38. [生物——选修3:现代生物科技专题](15分)
PCR技术可用于临床的病原菌检测。为检测病人是否感染了某种病原菌,医生进行了相关操作:①分析PCR扩增结果;②从病人组织样本中提取DNA;③利用PCR扩增DNA片段;④采集病人组织样本。回答下列问题:
(1)若要得到正确的检测结果,正确的操作顺序应该是 (用数字序号表示)。
(2)操作③中使用的酶是 ,PCR 反应中的每次循环可分为变性、复性、 三步,其中复性的结果是 。
(3)为了做出正确的诊断,PCR反应所用的引物应该能与 特异性结合。
(4)PCR(多聚酶链式反应)技术是指 。该技术目前被广泛地应用于疾病诊断等方面。
[在此处键入]
