文综试题
数学试题
理综试题
英语试题
语文试题
考题汇总
江南电竞logo
>
>
江苏高考
>
江苏江南app平台下载安装官网苹果
>
江苏数学试题
>
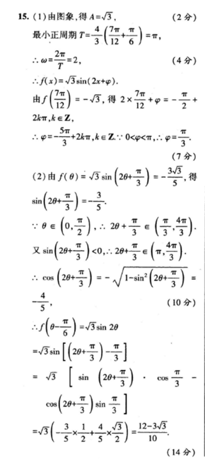
2018江苏高考数学调研模拟卷一(含答案)
时间:
2018-04-13 17:24
数学试题
如有排版混乱情况,请点击全屏查看!
map
相关文章
苏南十校联考2025届高三10月联考数学试题及答案
10-25
江苏如皋中学2024-2025学年高三上学期综合练习(一)数学试题及答案
10-23
南京六校联合体2024-2025学年高三上学期10月期中调研数学试题及答案
10-23
南通海门中学2025届高三上学期第一次调研数学试题及答案
10-22
江苏高邮2025届高三上学期10月学情调研数学试题及答案
10-21
扬州中学2024-2025学年高三上学期10月月考数学试题及答案
10-16
盐城五校联考2025届高三10月第一次学情调研数学试题及答案
10-16
热门推荐
2022年江南app体育网页版登录数学(文)试卷真题与答案解析
06-08
2023年高考全国新课标I卷数学试卷及答案解析
06-08
2023高三四省联考数学试题
02-24
4
2023高三四省联考数学试题答案解析
5
合肥一模数学答案2023详细解析!(文数+理数)
6
2022年江南app体育网页版登录数学(理)试卷真题与答案解析
7
2022年新高考II卷(新高考二卷)数学试卷真题与答案解析
8
2022年新高考I卷(新高考一卷)数学试卷真题与答案解析
9
2023年潍坊东营一模数学试题及答案
10
炎德英才大联考长沙一中2024届高三月考(三)数学试题及答案
最新文章
广东2025十大高职自主招生院校排名 哪些值得推荐
揭秘艺考 综合类大学推荐
湖南2025十大高职单招院校排名 哪些值得推荐
吉林2025艺术统考各类别考试时间安排 几月几号开考
湖北2025十大高职单招院校排名 哪些值得推荐
艺考与单招 你了解多少
河南2025十大高职单招院校排名 哪些值得推荐
艺考的魅力 让你未来无限可能
2025立冬是几月几日 具体什么时间立冬节气
山东2025十大高职单招与综合评价招生院校排名 哪些值得推荐
艺考就业方向 你不可不知的机会
map