文综试题
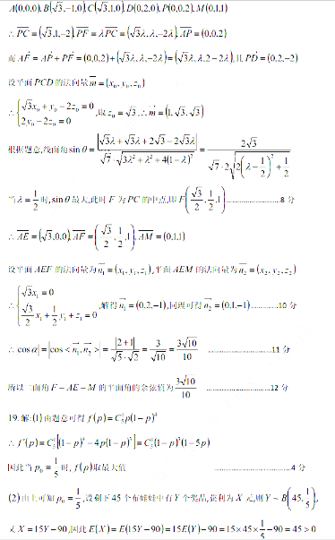
数学试题
理综试题
英语试题
语文试题
考题汇总
江南电竞logo
>
>
湖北高考
>
湖北江南app平台下载安装官网苹果
>
湖北数学试题
>
2021湖北高考理科数学押题预测卷及答案
时间:
2021-04-28 11:28
数学试题
2020湖北高考理科数学预测卷及答案
相关文章
华中师大一附中2024-2025学年高三上学期10月检测数学试题及答案
10-21
武汉外国语学校2025届高三上学期10月月考数学试题及答案
10-19
湖北金太阳百校大联考2025届高三上学期10月联考数学试题及答案
10-12
湖北腾云联盟2024-2025 学年度上学期10月联考数学试题及答案
10-10
湖北云学部分重点高中联盟2025届高三10月联考数学试题及答案
10-09
2024年湖北省新八校协作体高三10月联考数学试题及答案
10-09
襄阳五中2025届高三上学期9月月考数学试题及答案
10-01
热门推荐
2022年江南app体育网页版登录数学(文)试卷真题与答案解析
06-08
2023年高考全国新课标I卷数学试卷及答案解析
06-08
2023高三四省联考数学试题
02-24
4
2023高三四省联考数学试题答案解析
5
合肥一模数学答案2023详细解析!(文数+理数)
6
2022年江南app体育网页版登录数学(理)试卷真题与答案解析
7
2022年新高考II卷(新高考二卷)数学试卷真题与答案解析
8
2022年新高考I卷(新高考一卷)数学试卷真题与答案解析
9
2023年潍坊东营一模数学试题及答案
10
炎德英才大联考长沙一中2024届高三月考(三)数学试题及答案
最新文章
广东2025十大高职自主招生院校排名 哪些值得推荐
揭秘艺考 综合类大学推荐
湖南2025十大高职单招院校排名 哪些值得推荐
吉林2025艺术统考各类别考试时间安排 几月几号开考
湖北2025十大高职单招院校排名 哪些值得推荐
艺考与单招 你了解多少
河南2025十大高职单招院校排名 哪些值得推荐
艺考的魅力 让你未来无限可能
2025立冬是几月几日 具体什么时间立冬节气
山东2025十大高职单招与综合评价招生院校排名 哪些值得推荐
艺考就业方向 你不可不知的机会
map